-
Antiviral Activity of Origanum vulgare ssp. hirtum Essential Oil-Loaded Polymeric Micelles -
Developmentally Regulated CYP2E1 Expression Is Associated with a Fetal Pulmonary Transcriptional Response to Maternal Acetaminophen Exposure -
The Role of Immunotherapy and Radiation Therapy in the Treatment of Breast Cancer
Journal Description
Biomedicines
Biomedicines
is an international, peer-reviewed, open access journal on biomedicines published monthly online by MDPI.
- Open Access— free for readers, with article processing charges (APC) paid by authors or their institutions.
- High Visibility: indexed within Scopus, SCIE (Web of Science), PubMed, PMC, CAPlus / SciFinder, and other databases.
- Journal Rank: JCR - Q1 (Pharmacology and Pharmacy) / CiteScore - Q1 (Medicine (miscellaneous))
- Rapid Publication: manuscripts are peer-reviewed and a first decision is provided to authors approximately 17 days after submission; acceptance to publication is undertaken in 2.9 days (median values for papers published in this journal in the first half of 2025).
- Recognition of Reviewers: reviewers who provide timely, thorough peer-review reports receive vouchers entitling them to a discount on the APC of their next publication in any MDPI journal, in appreciation of the work done.
- Companion journals for Biomedicines include: IJTM, BioMed, Anesthesia Research and Emergency Care and Medicine.
Impact Factor:
3.9 (2024);
5-Year Impact Factor:
4.2 (2024)
Latest Articles
Association Between Sleep Apnea and Dry Eye Disease in the All-of-Us Program
Biomedicines 2026, 14(1), 24; https://doi.org/10.3390/biomedicines14010024 (registering DOI) - 22 Dec 2025
Abstract
Purpose: The aim of this study was to investigate the association between obstructive sleep apnea (OSA) and the prevalence of dry eye disease (DED) and meibomian gland dysfunction (MGD) using the All-of-Us Research Program (AoURP) dataset from a large, demographically diverse U.S. population.
[...] Read more.
Purpose: The aim of this study was to investigate the association between obstructive sleep apnea (OSA) and the prevalence of dry eye disease (DED) and meibomian gland dysfunction (MGD) using the All-of-Us Research Program (AoURP) dataset from a large, demographically diverse U.S. population. Methods: In this cross-sectional, matched case–control study, participants with documented OSA were exactly matched 1:3 by age, gender, race, and ethnicity to controls without OSA. Associations between OSA and DED and MGD were evaluated using univariate and multivariate logistic regression models adjusted for obesity, diabetes, smoking, hypertension, hyperlipidemia, hypothyroidism, and cardiovascular disease at the time of enrollment. Results: Among the 628,649 AoURP participants, 59,804 individuals had OSA and 179,412 matched controls were identified with the same demographics (mean age 61.95 years; 54.0% female; 12.5% Hispanic; 62.3% non-Hispanic White; 15.5% non-Hispanic Black). Compared to controls, OSA participants had significantly higher rates of smoking (13.7% vs. 10.9%), obesity (68.4% vs. 13.2%), diabetes (43.3% vs. 11.7%), hypertension (76.4% vs. 28.2%), hyperlipidemia (74.5% vs. 27.5%), hypothyroidism (24.7% vs. 8.1%), and cardiovascular disease (43.1% vs. 12.8%) (all p < 0.001). Compared to matched controls, the prevalence of DED was significantly higher in the OSA group (19.4% vs. 5.8%), with an adjusted odds ratio (OR) of 1.76 (95% confidence interval (95% CI), 1.70–1.82; p < 0.001). MGD prevalence was also higher in the OSA group (2.6% vs. 1.0%), with an adjusted OR of 1.43 (95% CI, 1.32–1.55; p < 0.001). Conclusions: In this large, demographically diverse U.S. population, obstructive sleep apnea was independently associated with a higher prevalence of both dry eye disease and meibomian gland dysfunction. These findings provide large-scale U.S. evidence and suggest that screening for ocular surface disease may be warranted in patients with OSA to improve detection and management.
Full article
(This article belongs to the Special Issue Recent Research on Dry Eye)
Open AccessArticle
Neuroprotective Effects of Anodal tDCS on Oxidative Stress and Neuroinflammation in Temporal Lobe Epilepsy
by
Ali Osman Arslan, Sevdenur Akcay, Guven Akcay, Dana Zaqzouq and Aydın Him
Biomedicines 2026, 14(1), 23; https://doi.org/10.3390/biomedicines14010023 (registering DOI) - 22 Dec 2025
Abstract
Background: Epilepsy affects over 50 million people worldwide, and about 30% remain drug-resistant—underscoring the urgent need for new therapies. This study evaluated the neuroprotective effects of anodal transcranial direct current stimulation (tDCS) in PTZ-induced epilepsy at acute and chronic stages in rats. Methods:
[...] Read more.
Background: Epilepsy affects over 50 million people worldwide, and about 30% remain drug-resistant—underscoring the urgent need for new therapies. This study evaluated the neuroprotective effects of anodal transcranial direct current stimulation (tDCS) in PTZ-induced epilepsy at acute and chronic stages in rats. Methods: Sixty male Wistar Albino rats (12 per group) were randomly assigned to five groups: control, acute epilepsy, acute epilepsy+ tDCS, chronic epilepsy, and chronic epilepsy+ tDCS. Behavioral tests—including the open-field, novel-object recognition, and Y-maze—assessed locomotion, recognition, and spatial memory. Hippocampal tissues were analyzed for oxidative stress markers (SOD, MDA), inflammatory cytokines (IL-1β, TNF-α), histopathology, and mechanistic markers of astrocytic and nitric oxide-mediated neuronal damage (GFAP and nNOS immunohistochemistry). Results: PTZ-induced epilepsy resulted in cognitive deficits, increased oxidative stress, neuroinflammation, neuronal degeneration, and astrocytic activation. Specifically, SOD decreased, while MDA, IL-1β, and TNF-α increased; GFAP and nNOS upregulation indicated activation of astrocytes and nitric oxide-mediated neuronal damage. tDCS mitigated these effects by enhancing SOD, reducing MDA, IL-1β, and TNF-α, and modulating the NO/GFAP axis, which corresponded to decreased neuronal degeneration and vascular hyperemia. Behaviorally, tDCS improved recognition memory and partially rescued spatial memory deficits. Conclusions: Anodal tDCS exerts neuroprotective effects in acute and chronic epilepsy by modulating oxidative stress, neuroinflammation, and the astrocytic/nitric oxide pathways, supporting its potential as a non-invasive adjunct therapy for cognitive and cellular protection. Future studies should investigate its effects on hippocampal glutamatergic and GABAergic pathways, as well as calcium homeostasis.
Full article
(This article belongs to the Special Issue Non-Invasive Brain Stimulation Techniques and Their Application in the Study of Cognitive Function Physiology and Neuro-Psychiatric Rehabilitation)
►▼
Show Figures

Graphical abstract
Open AccessArticle
Utility of Dynamic 68Ga-DAZA-PET/CT for Bile Leak Localization After Liver Transplantation: First Clinical Experiences
by
Anke Werner, Oliver Rohland, Julia Greiser, Martin Freesmeyer, Utz Settmacher, Robert Drescher and Felix Dondorf
Biomedicines 2026, 14(1), 22; https://doi.org/10.3390/biomedicines14010022 (registering DOI) - 22 Dec 2025
Abstract
Background/Objectives: Biliary complications are common after liver transplantation (LT), with bile leaks representing a major cause of morbidity. Conventional imaging modalities such as ultrasound, CT, MRCP, and endoscopic techniques may fail to localize peripheral or complex leaks. This study aimed to evaluate
[...] Read more.
Background/Objectives: Biliary complications are common after liver transplantation (LT), with bile leaks representing a major cause of morbidity. Conventional imaging modalities such as ultrasound, CT, MRCP, and endoscopic techniques may fail to localize peripheral or complex leaks. This study aimed to evaluate the feasibility of [68Ga]Ga-TEoS-DAZA-PET/CT for non-invasive localization of bile leaks after LT. Methods: Five male patients (mean age 53.2 years) with suspected bile leakage and inconclusive prior imaging underwent [68Ga]Ga-TEoS-DAZA-PET/CT. The tracer was synthesized under GMP conditions and administered at a mean activity of 204 ± 42 MBq. Dynamic PET/CT imaging was performed for 60 min, and findings were classified according to the Nagano classification. Results: Bile leaks were detected and anatomically localized in all five patients. Sites included the liver resection surface, central bile ducts, bilioenteric anastomosis, and biliary drainage exit. PET/CT findings guided revision surgery in one case and endoscopic treatment in three, while one patient improved without intervention. No adverse effects occurred. Conclusions: [68Ga]Ga-TEoS-DAZA-PET/CT is a feasible and safe imaging technique for the anatomical localization of bile leaks following LT. Its antegrade visualization of biliary flow, high spatial and temporal resolution, and lack of contraindications make it a promising complementary modality when conventional imaging is inconclusive or not feasible. Larger studies are warranted to validate its diagnostic value and clinical utility in postoperative and post-traumatic biliary injuries.
Full article
(This article belongs to the Special Issue Clinical Advances in Hepatocellular Carcinoma)
►▼
Show Figures

Figure 1
Open AccessReview
Galectin-3 and the Glyco-Inflammatory Axis: A Missing Link to Residual Cardiovascular Risk in Coronary Artery Disease
by
Toshiki Otoda, Ken-ichi Aihara, Ken-ichi Matsuoka and Tadateru Takayama
Biomedicines 2026, 14(1), 21; https://doi.org/10.3390/biomedicines14010021 - 22 Dec 2025
Abstract
Residual cardiovascular risk remains a major challenge in coronary artery disease, even after optimal lipid-lowering and anti-inflammatory therapy. Beyond classical risk factors, persistent low-grade inflammation and fibrotic remodeling contribute to adverse outcomes that current treatments fail to fully prevent. Growing evidence highlights the
[...] Read more.
Residual cardiovascular risk remains a major challenge in coronary artery disease, even after optimal lipid-lowering and anti-inflammatory therapy. Beyond classical risk factors, persistent low-grade inflammation and fibrotic remodeling contribute to adverse outcomes that current treatments fail to fully prevent. Growing evidence highlights the glyco-inflammatory axis—the interplay between protein glycosylation-dependent signaling and inflammation—as an underappreciated contributor to residual atherosclerotic risk, largely because current therapeutic strategies do not directly target glycan-mediated mechanisms. Within this framework, Galectin-3 (Gal-3), a β-galactoside-binding lectin, has emerged as a key molecular hub linking metabolic stress, lysosomal dysfunction, and vascular remodeling. By recognizing specific glycan motifs on immune and stromal cells, Gal-3 orchestrates macrophage activation, endothelial dysfunction, and extracellular matrix deposition, thereby amplifying chronic inflammation and fibrosis. Elevated circulating Gal-3 levels are associated with plaque vulnerability and major adverse cardiovascular events, independent of lipid or C-reactive protein levels. Experimental Gal-3 inhibition reduces inflammation and fibrosis in preclinical models, supporting its therapeutic potential. This review integrates mechanistic, translational, and clinical evidence to propose Gal-3 as a missing link between intracellular stress responses and extracellular fibro-inflammatory remodeling. Targeting the Gal-3-mediated glyco-inflammatory axis may represent a novel strategy to overcome residual cardiovascular risk and achieve comprehensive vascular protection in the post-statin era.
Full article
(This article belongs to the Special Issue Coronary Artery Disease: Current Evidence and Future Perspectives)
►▼
Show Figures

Graphical abstract
Open AccessArticle
Comparison of Artificial Intelligence and Radiologists in MRI-Based Prostate Cancer Diagnosis: A Meta-Analysis of Accuracy and Effectiveness
by
Huiqi Chen, Erwang Li, Paul J. Christos and Yuan-Shan Zhu
Biomedicines 2026, 14(1), 20; https://doi.org/10.3390/biomedicines14010020 - 21 Dec 2025
Abstract
Background: Prostate cancer remains a leading cause of mortality in men, making early, accurate detection crucial for early intervention. While radiologists utilize the Prostate Imaging Reporting and Data System (PI-RADS) for the interpretation of MRI imaging, variations in expertise and inter-reader differences can
[...] Read more.
Background: Prostate cancer remains a leading cause of mortality in men, making early, accurate detection crucial for early intervention. While radiologists utilize the Prostate Imaging Reporting and Data System (PI-RADS) for the interpretation of MRI imaging, variations in expertise and inter-reader differences can affect diagnostic accuracy. Artificial intelligence (AI) has emerged as a promising tool for automated detection, with the potential to achieve diagnostic performance comparable to radiologists in identifying clinically significant prostate cancer (csPCa), streamline workflows, and reduce unnecessary biopsies. However, its real-world performance compared to expert radiologists remains a topic of ongoing debate. Purpose: This meta-analysis aims to evaluate whether AI can achieve diagnostic performance that is comparable to that of radiologists in MRI-based prostate cancer detection by comparing diagnostic accuracy, sensitivity, specificity, and area under the receiver operating characteristic curve (AUROC). Methods: Following PRISMA 2020 guidelines, we searched PubMed for studies directly comparing AI and radiologists in MRI-based detection of csPCa. Ten studies (20,423 patients) were included, and quality was assessed using QUADAS-2. Analyses included forest plots for diagnostic sensitivity and specificity, funnel plots of AUROC to assess publication bias, and paired AUROC difference plots to directly compare diagnostic accuracy. Results: Pooled sensitivity was 0.87 (95% CI: 0.81–0.94) for AI and 0.85 (95% CI: 0.77–0.94) for radiologists; pooled specificity was 0.61 (95% CI: 0.51–0.72) for AI and 0.63 (95% CI: 0.54–0.71) for radiologists. Funnel plots of AUROC against standard error showed no strong visual evidence of publication bias. Paired AUROC difference analysis demonstrated no significant performance difference between AI and radiologists, with a pooled difference of 0.018 (p = 0.378). Conclusions: AI systems demonstrated diagnostic performance comparable to radiologists for MRI-based detection of csPCa, with a nonsignificant and slightly higher pooled sensitivity and AUROC. Moreover, AI has the potential to improve workflow speed, uniformity across expertise levels, and hybrid AI-radiologist approaches to reduce unnecessary biopsies. Large-scale, prospective trials with standardized protocols are needed to assess AI’s effectiveness across diverse clinical settings.
Full article
(This article belongs to the Section Cancer Biology and Oncology)
Open AccessReview
Cellular and Molecular Mechanisms of Neuroprotection in Deep Brain Stimulation for Parkinson’s Disease
by
Aiswarya Nag, Siddharth Shah and Brandon Lucke-Wold
Biomedicines 2026, 14(1), 19; https://doi.org/10.3390/biomedicines14010019 - 21 Dec 2025
Abstract
Deep brain stimulation (DBS) is an established therapy for motor symptom management in Parkinson’s disease (PD), yet emerging evidence suggests that its effects may extend beyond functional circuit modulation to include cellular and molecular mechanisms with potential neuroprotective significance. This review synthesizes current
[...] Read more.
Deep brain stimulation (DBS) is an established therapy for motor symptom management in Parkinson’s disease (PD), yet emerging evidence suggests that its effects may extend beyond functional circuit modulation to include cellular and molecular mechanisms with potential neuroprotective significance. This review synthesizes current evidence on the neuroprotective mechanisms of DBS, with an emphasis on preclinical and clinical studies that highlight its effects on neuronal survival, trophic support, oxidative stress, inflammation, synaptic plasticity, and network homeostasis. Preclinical data indicate that DBS reduces dopaminergic neuron degeneration, enhances brain-derived neurotrophic factor (BDNF) signaling, preserves mitochondrial function, attenuates neuroinflammation, and fosters synaptic remodeling. Clinical studies provide convergent, though less definitive, evidence from imaging, fluid biomarkers, and long-term outcomes supporting potential disease-modifying effects. These findings underscore a shift in the conceptualization of DBS from purely symptomatic relief toward modulation of underlying pathogenic processes. DBS holds promise as a neuroprotective therapy for PD, but critical gaps remain in validating these mechanisms in patients. Future directions include the development of biomarker-driven longitudinal studies, refinement of adaptive stimulation strategies, integration with adjunctive disease-modifying strategies, and exploration of personalized approaches based on molecular and network signatures. By bridging mechanistic understanding with translational innovation, DBS may evolve into a precision therapy capable of altering the progression trajectory of PD.
Full article
(This article belongs to the Special Issue Cellular and Molecular Biology of Neurodegenerative Disorders)
Open AccessArticle
The Assessment of the Autonomic Polyneuropathy Through Sudoscan and Vitamin B12 in Patients with Type 2 Diabetes Mellitus and High Cardiovascular Risk or Established Cardiovascular Disease
by
Cristina Mocanu (Chitan), Teodor Salmen, Anca Pantea Stoian and Cristian Serafinceanu
Biomedicines 2026, 14(1), 18; https://doi.org/10.3390/biomedicines14010018 - 21 Dec 2025
Abstract
Background: Diabetes Mellitus (DM) is frequently associated with diabetic peripheral neuropathy (DPN) and cardiovascular diseases (CVD). The aim of this study is to assess the relationship between DPN symptoms, vitamin B12 level, and autonomic neuropathy in DM patients with high and very high
[...] Read more.
Background: Diabetes Mellitus (DM) is frequently associated with diabetic peripheral neuropathy (DPN) and cardiovascular diseases (CVD). The aim of this study is to assess the relationship between DPN symptoms, vitamin B12 level, and autonomic neuropathy in DM patients with high and very high CV risk or established CVD. Material and Methods: A cross-sectional analysis of 164 patients from the Outpatient DM Department of Suceava County Hospital from September 2025 was performed. The clinical, paraclinical, and demographic data were collected, including Toronto Clinical Neuropathy Score (TCNS), Sudoscan, Orthostatic Hypotension (OH), and B12 level. Results: In total, 65.9% of patients had DPN; the mean HbA1c was 8.22% ± 1.74. No significant correlation was obtained between autonomic neuropathy (Sudoscan) and DPN severity (p = 0.163) or between vitamin B12 and DPN (p = 0.6). Vitamin B12 was associated with CV risk assessed with Sudosan (p = 0.04). OH had limited diagnostic significance for autonomic dysfunction. Conclusions: No strong link was detected between B12 levels and DPN; thus, it cannot be considered a predictive marker. Objective DPN screening remains essential. Sudoscan is practical and non-invasive in assessing autonomic neuropathy, but only when combined with TCNS may it increase the DPN screening and risk stratification in high-CV-risk populations with DM.
Full article
(This article belongs to the Special Issue Molecular and Histopathological Background of Diabetic Neuropathy)
►▼
Show Figures

Figure 1
Open AccessArticle
Association of Bach1 Gene Polymorphisms with Susceptibility to Bronchopulmonary Dysplasia in Preterm Infants
by
Satomi Sakuraba, Atsuko Noguchi, Hirokazu Arai, Ayumi Sasaki, Mitsuhiro Haga, Ayaka Iwatani, Eri Nishimura, Nobuhiko Nagano, Shutaro Suga, Shunsuke Araki, Asami Konishi, Yoshihiro Onouchi, Masato Ito and Fumihiko Namba
Biomedicines 2026, 14(1), 17; https://doi.org/10.3390/biomedicines14010017 - 21 Dec 2025
Abstract
Background: BTB and CNC homology 1 (Bach1) are transcriptional regulators involved in the oxidative response and inflammation. Although its biological functions are well characterized, the clinical impact of Bach1 gene polymorphisms (rs2300301, rs1153285, and rs2070401) on respiratory outcomes in preterm infants
[...] Read more.
Background: BTB and CNC homology 1 (Bach1) are transcriptional regulators involved in the oxidative response and inflammation. Although its biological functions are well characterized, the clinical impact of Bach1 gene polymorphisms (rs2300301, rs1153285, and rs2070401) on respiratory outcomes in preterm infants remains unclear. Methods: This multicenter study included 212 Japanese preterm infants born at <32 weeks of gestation with birth weights <1250 g. Three Bach1 single-nucleotide polymorphisms (SNPs; rs2300301, rs1153285, and rs2070401) were genotyped using TaqMan polymerase chain reaction (PCR). The requirements for home oxygen therapy (HOT) were compared across genotypes. Logistic regression analyses were performed after adjusting for the gestational age, sex, birth weight, and histological chorioamnionitis status. Results: Infants requiring HOT had a significantly lower gestational age (26 ± 1.7 weeks vs. 27 ± 2.2 weeks, p = 0.015) and lower birth weight (774 ± 235 g vs. 818 ± 233 g, p = 0.043) than those who did not. Histological chorioamnionitis was more prevalent in the HOT group (p = 0.022). rs2300301 was associated with HOT in univariate analysis (OR = 1.78, 95% CI: 1.20–2.04, p = 0.015). However, this association did not remain statistically significant after adjustment for gestational age, sex, birth weight, and histological chorioamnionitis (OR = 2.48, 95% CI: 0.90–6.80, p = 0.079). The rs1153285 and rs2070401 SNPs were not significantly associated with HOT expression. Conclusions: Our findings suggest a potential association between the Bach1 rs2300301 polymorphism and prolonged oxygen requirement in preterm infants. Although the adjusted analysis did not confirm the statistical significance, this SNP may serve as a candidate genetic marker for respiratory morbidity. Further studies are required to validate these findings.
Full article
(This article belongs to the Special Issue Progress in Neonatal Pulmonary Biology)
►▼
Show Figures

Figure 1
Open AccessReview
Cinacalcet Efficacy in Hyperparathyroidism—Chronic Kidney Disease—Non-Dialysis, Hemodialysis, Peritoneal Dialysis, Kidney Transplantation: Critical Review
by
Dominik Lewandowski, Miłosz Miedziaszczyk, Katarzyna Lacka and Ilona Idasiak-Piechocka
Biomedicines 2026, 14(1), 16; https://doi.org/10.3390/biomedicines14010016 - 21 Dec 2025
Abstract
Hyperparathyroidism is a serious complication of chronic kidney disease (CKD) and can occur in patients not on renal replacement therapy, during dialysis therapy, or after kidney transplantation. The disease leads to an increased risk of cardiovascular events, bone loss, and fractures. Cinacalcet is
[...] Read more.
Hyperparathyroidism is a serious complication of chronic kidney disease (CKD) and can occur in patients not on renal replacement therapy, during dialysis therapy, or after kidney transplantation. The disease leads to an increased risk of cardiovascular events, bone loss, and fractures. Cinacalcet is a widely used drug, but its effectiveness in treating hyperparathyroidism in selected stages of chronic kidney disease remains unclear. This critical review aims to integrate findings from meta-analyses and clinical trials to assess optimal therapeutic strategies in patients suffering from CKD, who are non-dialysis-dependent, dialysis-dependent, and after kidney transplantation. The authors reviewed eligible studies, including meta-analyses, randomized controlled trials, and observational studies assessing biochemical outcomes, cardiovascular, bone, and survival outcomes with cinacalcet. Cinacalcet effectively reduced serum parathyroid hormone (PTH), calcium, and phosphorus across all CKD stages, particularly in hemodialysis patients. Combination therapy with vitamin D analogs enhanced biochemical control without increasing adverse events, although mild, transient hypocalcemia and gastrointestinal symptoms were common. In kidney transplant recipients, parathyroidectomy achieved greater normalization of PTH and calcium. Cinacalcet has been shown to reduce mortality in patients on hemodialysis and peritoneal dialysis.
Full article
(This article belongs to the Special Issue Advanced Research in Thyroid and Parathyroid Diseases)
Open AccessArticle
Pharmacologic Inhibition of S-Nitrosoglutathione Reductase Prevents Hyperoxic Alveolar and Airway Disease in Newborn Mice
by
Stephanie Adaikalam, Ramadan B. Sopi, Laura A. Smith, Anjum Jafri, Peter M. MacFarlane, Richard J. Martin, Benjamin Gaston and Thomas M. Raffay
Biomedicines 2026, 14(1), 15; https://doi.org/10.3390/biomedicines14010015 - 20 Dec 2025
Abstract
Background/Objectives: Preterm infants are at risk of developing the chronic lung condition of bronchopulmonary dysplasia (BPD), with associated alveolar simplification and airway hyperreactivity. Inhibition of S-nitrosoglutathione (GSNO) reductase has been shown to rescue airway hyperreactivity in a murine model of BPD. Here,
[...] Read more.
Background/Objectives: Preterm infants are at risk of developing the chronic lung condition of bronchopulmonary dysplasia (BPD), with associated alveolar simplification and airway hyperreactivity. Inhibition of S-nitrosoglutathione (GSNO) reductase has been shown to rescue airway hyperreactivity in a murine model of BPD. Here, we investigate the effects of early treatment with N6022, a pharmacologic GSNO reductase inhibitor. Methods: Newborn C57BL/6 mice were exposed to either 21% (control) or 60% oxygen (BPD model) for 5 days after birth. Pups simultaneously received either subcutaneous saline or varying doses of N6022 for 5 days during hyperoxia exposure. Pups were then recovered in room air to 3 weeks postnatal age. H&E-stained lungs were analyzed for alveolar simplification and airway tethering. In vivo airway reactivity to inhaled methacholine was measured using a flexiVent system. In separate littermates, lungs were immediately harvested after 5 days of hyperoxia for protein quantification via automated capillary Westerns. Results: Alveolar simplification and decreased airway tethering were noted in the 60% + saline group. Pups treated with N6022 during hyperoxia displayed dose-dependent improvements in alveolar simplification and airway tethering. Similarly, hyperoxia-exposed pups had increased airway reactivity, as measured by elevated respiratory system resistance and elastance responses to methacholine. Treatment with 10 mg/kg/day N6022 during hyperoxia resulted in decreased resistance and elastance responses. TGF-β expressions were elevated in the 60% + saline group and attenuated in the 60% + N6022 groups. Conclusions: Early exposure to GSNO reductase inhibitors such as N6022 can prevent hyperoxia-induced alveolar simplification and airway hyperreactivity, with lasting effects even after cessation of treatment.
Full article
(This article belongs to the Special Issue Progress in Neonatal Pulmonary Biology)
►▼
Show Figures

Figure 1
Open AccessArticle
Pentraxin 3 as a Modulator of miRNAs and Extracellular Vesicles Release in Triple-Negative Breast Cancer Cells
by
Diogo Gomes da Costa, Fábio Ribeiro Queiroz, Flávia Santiago de Oliveira, Angelo Borges de Melo Neto, Marina Malheiros Araújo Silvestrini, Ludmila Rodrigues Pinto Ferreira, Isabela Aurora Rodrigues, Virgínia Mendes Russo Vallejos, Adriana Oliveira Costa, Frédéric Frézard, Jorge Gomes Goulart Ferreira, Matheus de Souza Gomes, Andréa Teixeira-Carvalho, Paulo Guilherme de Oliveira Salles, Letícia da Conceição Braga and Adriana Abalen Martins Dias
Biomedicines 2026, 14(1), 14; https://doi.org/10.3390/biomedicines14010014 - 20 Dec 2025
Abstract
Background/Objectives: Breast cancer is the most prevalent tumor among women worldwide, with the triple-negative (TNBC) being the most aggressive and therapeutically resistant subtype. It is crucial to investigate new therapeutic targets for the treatment of TNBC. Pentraxin 3 (PTX3), an acute-phase protein,
[...] Read more.
Background/Objectives: Breast cancer is the most prevalent tumor among women worldwide, with the triple-negative (TNBC) being the most aggressive and therapeutically resistant subtype. It is crucial to investigate new therapeutic targets for the treatment of TNBC. Pentraxin 3 (PTX3), an acute-phase protein, has a complex role in tumor progression, with its expression associated with disease severity. We investigated the role of recombinant human PTX3 (rhPTX3) in modulating microRNA (miRNA) expression and extracellular vesicle (EV) release in TNBC MDA-MB-231 cells. Methods: PTX3 gene expression was evaluated by RT-qPCR. The miRNA expression profile was determined by small RNA Next-Generation Sequencing (NGS). EV release was analyzed by nanoparticle tracking analysis (NTA), flow cytometry, and protein quantification. Results: rhPTX3 treatment significantly increased PTX3 gene expression in MDA-MB-231 cells. Furthermore, rhPTX3 altered the expression profile of 142 miRNAs, with 112 being upregulated and 30 downregulated. These differentially expressed miRNAs were predicted to have 12,894 potential targets, impacting 29 canonical pathways related to carcinogenesis. Key molecules for cancer progression were inhibited (IL6, IL4, CXCL8, CXCR4, CXCL12; ICAM1, CD44 and BCL2), and pro-apoptotic BAD was activated. While rhPTX3-treatment increased total EV release, it specifically reduced the percentage of the CD44+ EV subpopulation. Conclusions: Our data demonstrates that PTX3 modulates the miRNA expression profile and EV release dynamics, particularly by reducing the CD44+ EV population, which points to a tumor-suppressor role in this TNBC context. Given the limited therapeutic avenues for TNBC, our results suggest that PTX3 and its downstream molecular effects represent promising and previously unexplored potential therapeutic targets.
Full article
(This article belongs to the Section Cancer Biology and Oncology)
►▼
Show Figures

Graphical abstract
Open AccessArticle
Exploring the Appropriate Surgical Extent for Papillary Thyroid Carcinoma of the Isthmus: A Multicenter Retrospective Cohort Study
by
Yuhan Jiang, Yi Yang, Hanyun Tu, Tianyuchen Jiang and Anping Su
Biomedicines 2026, 14(1), 13; https://doi.org/10.3390/biomedicines14010013 - 20 Dec 2025
Abstract
Background: Papillary thyroid carcinoma in the isthmus (PTCI) remains a subject of surgical debate due to its unique anatomical location and reportedly more aggressive behavior, including higher rates of lymph node metastasis, multifocality, extrathyroidal extension, and capsular invasion. There are currently no definitive
[...] Read more.
Background: Papillary thyroid carcinoma in the isthmus (PTCI) remains a subject of surgical debate due to its unique anatomical location and reportedly more aggressive behavior, including higher rates of lymph node metastasis, multifocality, extrathyroidal extension, and capsular invasion. There are currently no definitive guidelines regarding the optimal extent of surgery. Objective: This study aimed to compare the three surgical approaches—total thyroidectomy, lobectomy with isthmusectomy, and isthmusectomy/extended isthmusectomy—in patients with PTCI, focusing on postoperative complications, tumor recurrence, recovery, and identifying risk factors for tumor prognosis and lymph node metastasis. Methods: We retrospectively analyzed data from 215 patients treated surgically across four medical centers from 2016 to 2022, divided into three groups based on surgical extent. We compared baseline characteristics, operative time, intraoperative blood loss, length of hospital stay, postoperative complications, and central lymph node metastasis risk factors. Propensity Score Matching (PSM) was used to create more comparable groups, so as to verify the accuracy and stability of our research results. Results: No significant differences were observed among the three groups in rates of temporary or permanent recurrent laryngeal nerve injury, permanent hypoparathyroidism, or chyle leakage (all p > 0.05). However, transient hypoparathyroidism was more common in the total thyroidectomy group (p < 0.05), which also had longer operative time, greater intraoperative blood loss, and longer postoperative hospital stay (all p < 0.05) The PSM-adjusted analyses further confirmed these findings, except that the previously observed difference in postoperative drainage volume among the three groups was no longer significant (p = 0.791). The Kaplan–Meier curves showed a similar cumulative proportion of recurrence-free survivors in the three groups with no statistically significant difference observed (p = 0.804). Univariate and multivariate logistic regression analysis identified that gender (OR = 4.405, 95%CI: 4.104–4.729, p < 0.001), multifocality (OR = 2.498, 95%CI: 1.064–5.864, p = 0.035), tumor diameter (OR = 1.096, 95%CI: 1.047–1.147, p < 0.001), capsular invasion (OR = 2.666, 95%CI: 2.547–2.791, p < 0.001), and absolute eosinophil count (OR = 1.381, 95%CI: 1.125–1.695, p = 0.002) remained significant independent predictors of central lymph node metastasis in PTCI. A multivariable logistic regression model was developed to predict CLNM, achieving an AUC of 0.777. A probability threshold of 0.50 provided the best balance between sensitivity (77.6%) and specificity (65.5%) and was selected as the clinical cut-off for stratifying high- and low-risk patients. Conclusions: Conservative procedures like lobectomy with isthmusectomy or isthmusectomy/extended isthmusectomy may represent a feasible, function-preserving option in carefully selected low-risk PTCI patients, but further validation is required. In contrast, patients with high-risk features may benefit from central lymph node dissection. The predictive model may provide supportive information for personalized surgical planning.
Full article
(This article belongs to the Special Issue Advanced Research in Thyroid and Parathyroid Diseases)
Open AccessReview
Salmonella-Induced Cell Death in Cancer Immunotherapy: What Lies Beneath?
by
Amy Mónaco, Sofía Chilibroste, María Clara Plata, Jose Alejandro Chabalgoity and María Moreno
Biomedicines 2026, 14(1), 12; https://doi.org/10.3390/biomedicines14010012 - 20 Dec 2025
Abstract
Bacteria-based cancer immunotherapies are regaining attention due to recent advances in understanding the mechanisms underlying their efficacy, making them promising tools for cancer treatment. Among these, Salmonella stands out as one of the most extensively studied microorganisms in this field. Its ability to
[...] Read more.
Bacteria-based cancer immunotherapies are regaining attention due to recent advances in understanding the mechanisms underlying their efficacy, making them promising tools for cancer treatment. Among these, Salmonella stands out as one of the most extensively studied microorganisms in this field. Its ability to directly induce tumor cell death while stimulating the immune system offers unique therapeutic advantages, as cell death within an inflammatory environment may enhance the release of tumor antigens and promote effective antitumor immune responses. Although multiple studies have addressed Salmonella-induced cell death, the nomenclature and classification of death modalities are often inconsistent—either because earlier reports predate the formalization of certain death pathways, or due to overlapping criteria between different types of cell death. This review aims to comprehensively analyze the available evidence on Salmonella-induced apoptosis, pyroptosis and autophagy, as well as other less characterized death modalities. Given that most mechanistics evidence on Salmonella-induced cell death has been generated in myeloid cells, we primarily focus on the myeloid compartment while integrating available observations from tumor cells and other immune populations when relevant, organizing the existing data under current definitions and concepts, and highlighting the challenges of manipulating these pathways to optimize bacterial-based immunotherapies.
Full article
(This article belongs to the Special Issue Mechanisms of Cell Death in Cancer Cells: A New Therapeutic Opportunity—2nd Edition)
Open AccessArticle
Role of Circulating Lipids in Mediating the Diabetogenic Effect of Obesity
by
Yutang Wang, Yan Fang, Fadi J. Charchar, Grant R. Drummond and Christopher G. Sobey
Biomedicines 2026, 14(1), 11; https://doi.org/10.3390/biomedicines14010011 - 20 Dec 2025
Abstract
Background/Objectives: Obesity is a major risk factor for diabetes, but the underlying mechanisms remain incompletely understood. Obesity is associated with alterations in circulating lipids. This study aimed to determine whether, and to what extent, circulating lipids mediate the diabetogenic effect of obesity.
[...] Read more.
Background/Objectives: Obesity is a major risk factor for diabetes, but the underlying mechanisms remain incompletely understood. Obesity is associated with alterations in circulating lipids. This study aimed to determine whether, and to what extent, circulating lipids mediate the diabetogenic effect of obesity. Methods: This mediation analysis included 26,627 adult participants. Parallel mediation analysis included total cholesterol, high-density lipoprotein (HDL) cholesterol, and triglycerides as simultaneous mediators. Low-density lipoprotein (LDL) cholesterol was excluded from the parallel model due to collinearity with total cholesterol and was assessed separately using simple mediation analysis adjusted for confounders. Results: After adjustment for tested confounders, parallel mediation analysis showed that increases in triglycerides and reductions in HDL cholesterol mediated 24.0% (indirect effect coefficient = 0.23; 95% CI: 0.20–0.26; p < 0.05) and 3.8% (indirect effect coefficient = 0.04; 95% CI: 0.01–0.06; p < 0.05) of the diabetogenic effect of obesity, respectively. An increase in total cholesterol modestly attenuated the diabetogenic effect of obesity by 2.3% (indirect effect coefficient = −0.02; 95% CI: −0.03 to −0.01; p < 0.05), a magnitude that is unlikely to be clinically meaningful. Simple mediation analysis indicated that LDL cholesterol was not a significant mediator. Conclusions: Triglycerides are the most influential circulating lipid in mediating the diabetogenic effect of obesity, accounting for 24% of the total effect. Targeting triglyceride levels might represent an underrecognized therapeutic strategy to reduce obesity-related diabetes risk.
Full article
(This article belongs to the Special Issue Cardiovascular and Metabolic Disease: New Treatment and Future Directions—4th Edition)
►▼
Show Figures

Figure 1
Open AccessArticle
Integrative Analysis of Biochemical, Hormonal, and Histopathological Profiles in Thyroid Nodules: A Seven-Year Retrospective Study
by
Sergiu-Ciprian Matei, Mervat Matei, Sorin Ursoniu, Anna Laura Maiozzi, Ana Silvia Corlan, Bianca Roxana Natarâş, Flavia Medana Petrașcu, Mihaela Maria Vlad, Diana Szekely, Flavia Zara and Cristina Stefania Dumitru
Biomedicines 2026, 14(1), 10; https://doi.org/10.3390/biomedicines14010010 - 20 Dec 2025
Abstract
Background/Objectives: Thyroid nodules exhibit substantial histopathological variability, and systemic markers that differentiate benign from malignant patterns remain poorly defined. This study evaluated clinical, biochemical, hormonal, and histopathological characteristics in patients undergoing total thyroidectomy for nodular thyroid disease. Methods: A retrospective cohort
[...] Read more.
Background/Objectives: Thyroid nodules exhibit substantial histopathological variability, and systemic markers that differentiate benign from malignant patterns remain poorly defined. This study evaluated clinical, biochemical, hormonal, and histopathological characteristics in patients undergoing total thyroidectomy for nodular thyroid disease. Methods: A retrospective cohort of 926 patients operated between 2017 and 2024 was analyzed. Patients were classified as: Group 1—benign lesions; Group 2—benign–malignant associations; Group 3—multiple malignant lesions. Demographic, biochemical, hormonal, and histopathological data were assessed using the Kruskal–Wallis and Mantel–Haenszel chi-square tests. Thyroid-specific tumor and autoimmunity markers (calcitonin, thyroglobulin, anti-thyroglobulin antibodies, and thyroid peroxidase antibodies) were not included in the comparative analyses due to their non-uniform availability across the retrospective cohort. Results: Most clinical and biochemical parameters showed no significant differences among the three groups, including TSH (p = 0.122), FT3 (p = 0.560), glycemia (p = 0.829), creatinine (p = 0.193), fibrinogen (p = 0.535), and thyroid dimensions (length p = 0.401, width p = 0.183, thickness p = 0.667, and total thyroid mass p = 0.109). Neutrophil count differed in the overall comparison (p = 0.021), although absolute differences were small, and lymphocyte counts were modestly lower in patients with multiple malignant lesions compared with benign disease (p = 0.009). Comorbidities and BMI were similarly distributed across groups (all p > 0.05). Overall, routinely available clinical, biochemical, and hormonal parameters demonstrated limited discriminatory value between patients with different histopathological patterns. Conclusions: Standard clinical, biochemical, and hormonal markers showed minimal ability to reflect underlying histopathological patterns in patients with thyroid nodules, underscoring their limited utility for preoperative risk stratification.
Full article
(This article belongs to the Special Issue State-of-the-Art Endocrine Cancer Biology and Oncology)
►▼
Show Figures

Figure 1
Open AccessSystematic Review
Oxygen-Based Adjunct Therapies in Periodontitis: A Systematic Review and Meta-Analysis Within the Framework of Hypoxia and Inflammation
by
Tobias Kollmar, Markus Schepers, Andressa V. B. Nogueira, James Deschner and Lena Katharina Müller-Heupt
Biomedicines 2026, 14(1), 9; https://doi.org/10.3390/biomedicines14010009 (registering DOI) - 19 Dec 2025
Abstract
Background/Aim: This systematic review and meta-analysis aimed to evaluate the clinical efficacy of oxygen-based adjunct therapies in patients with periodontitis, including ozone therapy, hyperbaric oxygen therapy, and local oxygen delivery, as adjuncts to subgingival instrumentation. These interventions have been proposed to counteract tissue
[...] Read more.
Background/Aim: This systematic review and meta-analysis aimed to evaluate the clinical efficacy of oxygen-based adjunct therapies in patients with periodontitis, including ozone therapy, hyperbaric oxygen therapy, and local oxygen delivery, as adjuncts to subgingival instrumentation. These interventions have been proposed to counteract tissue hypoxia and inflammation, which sustain an environment favorable to anaerobic pathogens in periodontitis. Methods: An electronic search was conducted in MEDLINE PubMed, the Cochrane Library, the Cochrane Central Register of Controlled Trials, and SciELO. Risk of bias was assessed using the Cochrane Risk of Bias Tool 2. Standardized mean difference was calculated for gains in clinical attachment level, and a random effects model was applied due to high variability. Results: The meta-analysis of adjunct ozone therapies presented a pooled standardized mean difference of 0.53 (95% CI [−0.14, 1.19]), indicating a clinically relevant medium effect in favor of ozone therapies, though this effect was not statistically significant and substantial heterogeneity was observed (I2 = 70%, p < 0.01). Meta-analysis was restricted to adjunct ozone therapies due to the limited availability of qualifying studies for hyperbaric oxygen therapy and local oxygen therapies. Conclusions: While the medium effect size in favor of ozone therapies could be clinically relevant, the statistical non-significance underscores the need for more evidence before widespread adoption. Individual studies reported significant benefits for adjunct HBOT and ozonated olive oil, but comparison between oxygen delivery modes was not possible due to heterogeneous protocols.
Full article
(This article belongs to the Special Issue Inflammatory Mechanisms, Biomarkers and Treatment in Oral Diseases)
Open AccessArticle
Renoprotective Effects of Goreisan via Modulation of RAAS Activity, Oxidative Stress, and AQP2 Trafficking in a Rat Model of Nephrotic Syndrome
by
Mao Shimizu, Shunsuke Goto, Satoshi Yamatani, Kazuo Sakamoto, Keiji Kono and Hideki Fujii
Biomedicines 2026, 14(1), 8; https://doi.org/10.3390/biomedicines14010008 - 19 Dec 2025
Abstract
Background/Objectives: We evaluated Goreisan, a traditional Chinese medicine, for its effects on nephrotic syndrome in a rat model. Methods: Male Sprague–Dawley rats underwent right nephrectomy at 5 weeks of age, followed by adriamycin administration (5 mg/kg) at 6 and 8 weeks of
[...] Read more.
Background/Objectives: We evaluated Goreisan, a traditional Chinese medicine, for its effects on nephrotic syndrome in a rat model. Methods: Male Sprague–Dawley rats underwent right nephrectomy at 5 weeks of age, followed by adriamycin administration (5 mg/kg) at 6 and 8 weeks of age to induce nephrotic syndrome. At 10 weeks, rats were divided into three groups: vehicle (control), Goreisan 0.5 g/kg (GL), and Goreisan 1.0 g/kg (GH). Goreisan was administered daily for 4 weeks. At 14 weeks, blood, urine, mRNA expressions, and kidney histopathology were analyzed. Data were analyzed using one-way ANOVA followed by Tukey–Kramer post hoc testing. Results: Goreisan prevented worsening kidney function, with reduced glomerular and tubulointerstitial damage, lower systemic and intrarenal 8-hydroxy-2′-deoxyguanosine levels, and lower plasma aldosterone levels and expression of intrarenal renin–angiotensin–aldosterone system (RAAS)-related factors. Urine volume significantly increased in GL and GH groups compared with the control group. In the GH group, urine volume increased markedly (Δ urine volume: 10.0 ± 2.6 mL/day), whereas it tended to decrease in the Vehicle group (Δ urine volume: −1.3 ± 2.5 mL/day). Urine osmolality was lower in the GH group, with a larger decrease in Δ urine osmolality (−616.3 ± 132.8 mOsm/L). These changes occurred without an increase in urinary sodium excretion, suggesting an aquaretic effect independent of natriuresis. Creatinine clearance (CCr/kg) declined markedly in the Vehicle group but was significantly preserved in the GH group (Δ CCr/kg: −2.2 ± 0.19 vs. −0.7 ± 0.28), indicating renoprotective effects. No differences were found in serum arginine–vasopressin levels. Real-time PCR and immunohistochemical staining showed no significant differences in aquaporin (AQP) mRNA expression (AQP1, AQP2, AQP3, and AQP4), but AQP2 localization to the apical membrane in the collecting ducts was reduced with Goreisan treatment. Conclusions: Goreisan demonstrates kidney-protective and diuretic effects in nephrotic syndrome, potentially through reducing systemic oxidative stress, modulating RAAS activation, and altering AQP2 trafficking.
Full article
(This article belongs to the Section Molecular and Translational Medicine)
Open AccessArticle
Dynamic Clinical and Laboratory Predictors of in-Hospital Mortality in COVID-19: A Multivariate Cox Regression Study
by
Desislava Arabadzhiyska, Tanya Deneva, Rumen Stefanov and Snezhana Stoencheva
Biomedicines 2026, 14(1), 7; https://doi.org/10.3390/biomedicines14010007 - 19 Dec 2025
Abstract
Background/Objectives: Identifying early and dynamic predictors of mortality in hospitalized COVID-19 patients is essential for improving prognosis and guiding therapy. Our aim is to evaluate clinical and laboratory predictors of in-hospital mortality among moderate and severe COVID-19 patients using multivariate Cox proportional
[...] Read more.
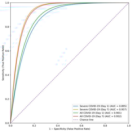
Background/Objectives: Identifying early and dynamic predictors of mortality in hospitalized COVID-19 patients is essential for improving prognosis and guiding therapy. Our aim is to evaluate clinical and laboratory predictors of in-hospital mortality among moderate and severe COVID-19 patients using multivariate Cox proportional hazards regression analysis. Methods: This retrospective cohort study included 168 adults (aged 18–64 years) with RT-PCR–confirmed COVID-19. Basic demographic data (age and sex) and laboratory parameters were collected on Day 1 and Day 7 of hospitalization. Stepwise Cox regression models were constructed for all patients and for the severe-disease subgroup. Results: Of 168 patients, 104 (61.9%) had severe and 64 (38.1%) moderate disease; 33 (19.6%) died, all with severe COVID-19. On Day 1, independent predictors of mortality in both the total cohort and the severe subgroup were older age (HR = 1.095, p = 0.003), male sex (HR = 0.324, p = 0.013), lower lymphocyte percentage (HR = 0.869, p = 0.041), and elevated procalcitonin (PCT) (HR = 10.972, p < 0.001). On Day 7, predictive significance shifted: in severe cases, mortality was independently associated with sex, PCT, eosinophil percentage, ferritin, vitamin D, and gamma-glutamyl transferase (GGT) (χ2 = 69.47, p < 0.0001). In the total cohort, age, PCT, interleukin-6 (IL-6), and GGT were independent predictors (χ2 = 86.24, p < 0.0001). Conclusions: Early mortality risk in COVID-19 was driven by demographic factors and inflammation markers, whereas by Day 7 biochemical indicators of systemic inflammation, oxidative stress and hepatic dysfunction became stronger determinants of outcome.
Full article
(This article belongs to the Section Cell Biology and Pathology)
►▼
Show Figures

Figure 1
Open AccessArticle
Cinnamomum cassia Modulates Key Players of Gut–Liver Axis in Murine Lupus
by
Georges Maalouly, Tarek Itani and Nassim Fares
Biomedicines 2026, 14(1), 6; https://doi.org/10.3390/biomedicines14010006 - 19 Dec 2025
Abstract
Background: Systemic lupus erythematosus is a multi-faceted auto-immune disease. Growing evidence points to gut permeability and microbiota as key players in the development of the disease. Cinnamomum cassia is gaining attention as a potential modifier of the gut and liver health. We
[...] Read more.
Background: Systemic lupus erythematosus is a multi-faceted auto-immune disease. Growing evidence points to gut permeability and microbiota as key players in the development of the disease. Cinnamomum cassia is gaining attention as a potential modifier of the gut and liver health. We aim in this study to explore the effect of cinnamon on key elements of the gut–liver axis in imiquimod-induced lupus. Methods: Female C57BL/6J mice were stratified into five experimental groups: sham, sham plus cinnamon, lupus, lupus with cinnamon treatment, and lupus with pre- and post-induction cinnamon treatment. Lupus was induced through application of 1.25 mg of 5% imiquimod cream to the right ear, three times per week over six weeks. Cinnamomum cassia was given orally at 200 mg/kg, five days weekly. High-Throughput Sequencing of Bacterial 16S rRNA Gene was used on fecal samples with subsequent bioinformatic analysis of microbiota. Western blot and antibody array were used to measure E. coli translocation, and hepatic inflammatory, oxidative, and apoptotic markers. Results: Cinnamon treatment mitigated the trend toward a lower Firmicutes/Bacteroidota ratio in the lupus mice. While not statistically significant, cinnamon also led to a decrease in Lachnospiraceae abundance. Interestingly, sham mice given cinnamon had more Lactobacillus and Limosilactobacillus. Furthermore, cinnamon effectively reversed the increase in E. coli protein in the liver and normalized the enhanced expression of TLR-7, p-NFκB/NFκB, SOD1 and SOD2 induced by lupus. Conclusions: Cinnamomum cassia modulates oxidative, inflammatory, and microbial elements of the gut–liver axis in lupus, offering a new perspective on lupus pathogenesis and potential nutritional interventions.
Full article
(This article belongs to the Section Cell Biology and Pathology)
►▼
Show Figures

Figure 1
Open AccessReview
GalNAc-Transferases in Cancer
by
Shruthi C. Iyer, Dinesh Kumar Srinivasan and Rajeev Parameswaran
Biomedicines 2026, 14(1), 5; https://doi.org/10.3390/biomedicines14010005 - 19 Dec 2025
Abstract
Background/Objectives: The polypeptide N-acetylgalactosaminyltransferase (GALNT) family initiates mucin-type O-glycosylation, a post-translational modification that plays a pivotal role in cellular signaling, adhesion, and immune evasion. Dysregulated GALNT expression has been increasingly implicated in carcinogenesis. Methods: We reviewed the literature on the
[...] Read more.
Background/Objectives: The polypeptide N-acetylgalactosaminyltransferase (GALNT) family initiates mucin-type O-glycosylation, a post-translational modification that plays a pivotal role in cellular signaling, adhesion, and immune evasion. Dysregulated GALNT expression has been increasingly implicated in carcinogenesis. Methods: We reviewed the literature on the expression, function, and clinical relevance of GALNT isoforms across various cancers, with a focus on their mechanistic roles, biomarker potential, and therapeutic implications. Results: Aberrant GALNT expression is observed in numerous malignancies, including breast, colorectal, gastric, lung, ovarian, and hepatocellular carcinomas. Isoforms such as GALNT1, -T2, -T3, and -T14 contribute to tumorigenesis by modulating the glycosylation of mucins such as Mucin-1 (MUC1), epithelial growth factor receptors (EGFR), and other signaling proteins. These alterations promote cancer cell proliferation, metastasis, epithelial–mesenchymal transition (EMT), and chemoresistance. Deranged GALNT expression is frequently associated with poor prognosis, and certain GALNT genotypes predict treatment response. However, functional redundancy among isoforms poses challenges for selective targeting. Conclusions: Despite their strong potential as modulators of cancer progression, GALNTs face substantial limitations in terms of substrate identification, mechanistic clarity, immune relevance, and therapeutic tractability. Overcoming these challenges requires advanced glycoproteomics, development of isoform-specific tools, and integrated studies across cancer and immunology to fully harness GALNT biology for clinical benefit.
Full article
(This article belongs to the Special Issue Role of Glycomics in Health and Diseases)
►▼
Show Figures

Graphical abstract
Journal Menu
► ▼ Journal Menu-
- Biomedicines Home
- Aims & Scope
- Editorial Board
- Reviewer Board
- Instructions for Authors
- Special Issues
- Topics
- Sections & Collections
- Article Processing Charge
- Indexing & Archiving
- Editor’s Choice Articles
- Most Cited & Viewed
- Journal Statistics
- Journal History
- Journal Awards
- Conferences
- Editorial Office
Journal Browser
► ▼ Journal BrowserHighly Accessed Articles
Latest Books
E-Mail Alert
News
9 December 2025
Meet Us at the 146th Annual Meeting of the Pharmaceutical Society of Japan (Osaka), 26–29 March 2026, Osaka, Japan
Meet Us at the 146th Annual Meeting of the Pharmaceutical Society of Japan (Osaka), 26–29 March 2026, Osaka, Japan
3 December 2025
Meet Us at the 5th Molecules Medicinal Chemistry Symposium, 14–17 May 2026, Beijing, China
Meet Us at the 5th Molecules Medicinal Chemistry Symposium, 14–17 May 2026, Beijing, China
Topics
Topic in
Dentistry Journal, JCM, Materials, Biomedicines, Life
Medical and Dental Care, Photobiomodulation and Photomedicine
Topic Editors: Samir Nammour, Chukuka Samuel Enwemeka, Aldo Brugnera JuniorDeadline: 31 December 2025
Topic in
Biomedicines, Diagnostics, Endocrines, JCM, JPM, IJMS
Development of Diagnosis and Treatment Modalities in Obstetrics and Gynecology
Topic Editors: Osamu Hiraike, Fuminori TaniguchiDeadline: 20 March 2026
Topic in
IJMS, Metabolites, Molecules, Proteomes, Biomedicines, IJTM
Liquid Biopsy: A Modern Method Transforming Biomedicine
Topic Editors: Michele Costanzo, Marianna CaterinoDeadline: 31 March 2026
Topic in
Biomedicines, Cancers, JCM, Nanomaterials, Pharmaceutics, JNT
Application of Nanomaterials and Nanobiotechnology in Cancer
Topic Editors: Ayan Kumar Barui, Susheel Kumar NethiDeadline: 31 May 2026
Conferences
Special Issues
Special Issue in
Biomedicines
Personalized Treatment in Cancer Research, Second Edition
Guest Editors: Silvia De Francia, Sarah AllegraDeadline: 30 December 2025
Special Issue in
Biomedicines
Neurotransmitters in Health and Diseases
Guest Editors: Zsolt Bagosi, Krisztina CsabafiDeadline: 31 December 2025
Special Issue in
Biomedicines
Feature Reviews in Imaging Technology for Human Diseases
Guest Editors: Giulio Distefano, Antonio GranataDeadline: 31 December 2025
Special Issue in
Biomedicines
Mechanism of Mesenchymal Stromal Cells and Their Derivatives in Regenerative Medicine
Guest Editors: Jia Xian Law, Kok Lun PangDeadline: 31 December 2025
Topical Collections
Topical Collection in
Biomedicines
Feature Papers in Drug Discovery and Development
Collection Editor: Jun Lu
Topical Collection in
Biomedicines
Advances in Leukocyte Biology
Collection Editors: Galina F. Sud’ina, Mihnea Zdrenghea
Topical Collection in
Biomedicines
MicroRNAs, tRNA Fragments, Long Non-coding and Circular RNAs: Pivotal Regulators of Gene Expression and Their Roles in Human Physiology and Disease
Collection Editor: Christos K. Kontos
Topical Collection in
Biomedicines
Recent Advances in Cancer Stem Cells
Collection Editor: Xiaoyan Jiang

